Market Update/
India’s Mung Market, December 7 - 12, 2020


Rahul Chauhan

Contributor

At a glance




This week’s highlights:

  • Rabi pulse sowing advances to 13.059 million hectares, up by 1.089 million hectares over last year’s pace.
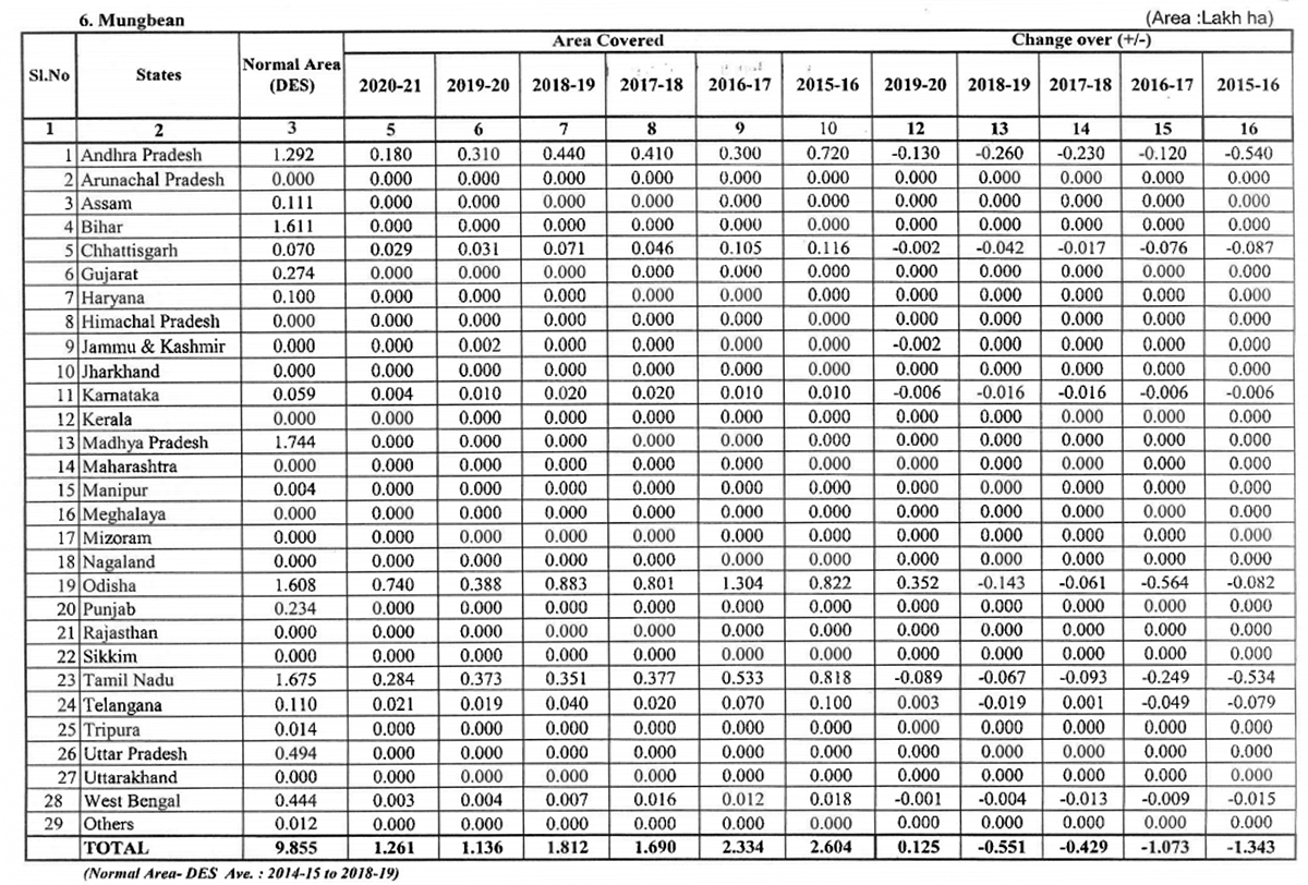
  • Rabi mung sowing advanced 0.13 lakh hectares to 1.26 lakh hectares.
  • Marriage season comes to a close; demand is likely to cool.
  • Import parity on the high side as international prices are higher.
  • The government of Myanmar asked farmers to reduce the area seeded to urad and increase the area seeded to mung.
  • Market not supressed due to import opening.
  • The government of India faces dilemma in controlling farmers’ protest and pressure to keep market prices near MSP.
  • It will be challenging for the government to ensure maximum number of farmers are benefited by MSP.

 

Rundown of Indian Markets:

Mung arrivals decrease; overall prices surge on demand from stockists

Delhi

The government opened an import quota of 1.5 lakh MT for mung, but importers are not interested in bringing in product from abroad because international prices are on the high side. Exporting countries like Australia, Canada and several nations in Africa are busy selling mung to China. International mung prices are preceding above $1,100/MT. Indian import parity is on the higher side. Pan India mung arrivals are down but, due to continued demand from stockists, prices have risen.

Demand for mung may improve in the future. Last week, there was less of a price fluctuation in Delhi market. Over the weekend, prices remained steady from the previous week at Rs. 7,200-7,700/quintal.


Madhya Pradesh

In MP market yards, prices picked up as there was some demand from traders. During the past week, a price improvement of Rs. 100-200 was seen in all major markets. Following this increase, Harda Market Yard prices reached Rs. 5,000-8,100, Indore Rs. 7,500-8,000 and Pipariya Rs. 5,000-7,000/100 Kg. The large gap between low and high prices indicates a wide discrepancy in the quality of mung.


Rajasthan

Arrivals in Rajasthan slowed as farmers are busy sowing other crops. Sudden demand at a time of reduced arrivals supported the market. Prices in all major Rajasthan markets increased by Rs. 200-300. Prices in Merta City were Rs. 5,000-7,500, Jodhpur Rs. 6,400-7,200, Jaipur Rs. 6,900-7,500 and Kishangarh Rs. 4,400-7,000 per quintal. Good demand is anticipated in the future.


Maharashtra

A price increase of Rs. 100-200 was seen in Maharashtra market yards. Prices in Latur reached Rs. 7,000-8,000, Akola Rs. 4,500-7,800, Jalgaon Rs. 6,300-6,950, Ahmednagar Rs. 3,800-8,000/100 Kg.


Karnataka

The market held steady last week in the Rs. 4,000-7,800 range. In Yadgir, mung traded at Rs. 4,500-8,472, and in Bidar at Rs. 5,453-6,096. Trading was normal in other market yards.


Others

In other markets, prices were normal. Dahod mung traded at Rs. 7,000-7,500, Lalitpur at Rs. 4,300-6,500/100 kg.


Mung Dal

Demand in processed mung dal was normal. With a price decrease of Rs. 100-200, processed mung dal traded at Rs. 8,200-9,800.

 

Total Mung Arrivals in Important Markets Kharif 2020
(From December 1 -12, in quintals)
State-Arrivals

Karnataka

Gulbarga 1,500
Bidar 3,917
Gadag 9,420

Maharashtra

Jalna 2,800
Latur 5,700
Washi 1,100
Udgir 1,875
Ahmednagar 2,000


Rajasthan

Merta City 31,750
Sumerpur 8,500
Nagaur 15,000
Kekadi 8,350
Kishangarh 5,700


Uttar Pradesh

Lalitpur 1,418 

 

 

News Blurbs

Mung Imported, But a Smaller Volume

For the current financial year 2020/21 (April-March), the government had set an import quota of 1.50 lakh MT of moong for Dall millers-processors but did not issue licenses or permits in a timely fashion. Import licences were issued late. Many Dall millers/processors withdraw their licences. As a result, only 18,950 MT of moong were imported in the first half of the current financial year (April-September 2020). An additional 1,417 MT of moong is estimated to have been imported in October and 1,188 MT in November. Thus, total imports for the eight months (April - November 2020) are likely to be just 21,555 MT. Over the entire course of FY 2019/20, which also had a moong import quota of 1.50 lakh MT, moong imports amounted to 69,439 MT. Moong import licenses were issued at a time when stocks in exporting countries, especially Myanmar, were down significantly and prices were high.

For the past several months, domestic pulse prices, including moong, have been declining compared to the previous three months.

Kharif season moong crops were hit by heavy rains in some provinces, including Maharashtra and Karnataka, and production declined as a result. Moong yields were nearly normal in Rajasthan.

 

Third party invoices will be accepted for all LDCs

The International Customs Division of the Central Board of Indirect Taxes and Customs (CBIC), a subordinate body of the Department of Revenue in the Union Finance Ministry, has clarified that third party invoices will be accepted for all LDCs for goods imported from abroad. According to a notification issued by the board, third party invoices will be valid in the case of preferential certificate of origin issued in respect of DFTP for products with full ownership.

Letters were written to the board in this regard on behalf of traders. It claimed preferential tariff treatment for wholly owned goods in the context of the Duty-Free Tariff Preference Scheme for Least Developed Countries (DFTP) in the world.

Simply stated, the government of India has granted a customs duty exemption for imports originating from some of the least developed countries in the world. Importers must provide proof of origin to receive this benefit.

 

Government approves purchase of 48.11 lakh MT of pulses and oilseeds

Based on the proposals and requests received in various states, the Central Government has approved the purchase of a total of 48.11 lakh MT of pulses and oilseeds for the 2020/21 Kharif marketing season. Pulses and oilseeds will be procured at MSP in states like Tamil Nadu, Karnataka, Maharashtra, Telangana, Gujarat, Rajasthan, Haryana, Andhra Pradesh, Uttar Pradesh and Orissa. As per the data received, through 8 December, 143,425.38 MT of moong, urad, groundnut and soybean worth Rs 770.84 crore was procured from 8,137 farmers in Gujarat, Rajasthan, Haryana, Maharashtra and Tamil Nadu. Additionally, 5,089 MT of copra worth Rs 52.40 crore were purchased from 3,961 farmers in Karnataka and Tamil Nadu. Last year, 293.34 MT of copra were procured.

Because open market pulses and oilseeds prices are higher than MSP in many producing regions, the pace of government procurement has slowed. Groundnut is produced in Gujarat and Madhya Pradesh is the top soybean producers. Rajasthan is famous for its moong production. The nodal government agency NAFED is keeping an eye on the market in each region and initiates procurement whenever the price falls below MSP.

 

Lifting of about 187 lakh MT of food grains by the state under free ration distribution scheme

Under the Pradhan Mantri Garib Kalyan Anna Yojana, 186.80 lakh MT of food grains and 9.20 lakh MT of pulses were lifted by the 36 states and union territories of the country. This lift occurred during the second phase of the free ration distribution scheme i.e., the five months from July-November 2020. It may be noted that the first phase of the free ration distribution scheme was originally from April - June, but the second phase was then added.

Apart from this, the Central Government tried to provide adequate support to other sectors during the COVID-19 crisis. Under the Pradhan Mantri Jan Dhan Yojana, Rs. 80,952 crores were distributed among women account holders and Rs. 2814.50 crore among 281 lakh elderly, widows and differently-abled persons as the first instalment in the account of 894 lakh beneficiaries under PM-Kisan Yojana. An amount of Rs.17,891 crore was deposited and Rs.5012.44 crore was provided for 183 lakh workers engaged in building and other construction work. The government provided an amount of Rs 2.564 crore to 45 lakh personnel as a contribution to the Employees Provident Fund. This contribution was 24%. In addition, Rs. 9670 crore were transferred to banks under the Ujjwala scheme.

PULSES SOWING: DEPARTMENT OF AGRICULTURE, COOPERATION & FAMERS WELFARE

 

Abbreviations

Tuar/ Arhar: Pigeon Peas PP
Mung: Green Mung
Urad: Black Matpe
Chana: Gram
Matar: Pea
Masur: Lentil
Mandi: Market yard
Bhav: Prices
Dal/Daal: Processed Pulses (Directly for human consumption)
Rs: Indian Rupees (1$=Rs 73-74)

 

Rahul Chauhan
Director, IGrain India
igrainind@gmail.com
+91 9350141815
Twitter igrain_india

WhatsApp Icon

Want to become a member? Contact us!